BISE Lahore releases mathematics model paper for Matric exams 2026

BISE Lahore releases mathematics model paper for Matric exams 2026
LAHORE: The Board of Intermediate and Secondary Education (BISE) Lahore has released the Mathematics model paper (Science Group) for the upcoming Matric annual exams 2026.
The model paper is designed to help students understand the exam pattern and paper structure better.
BISE LAHORE Class 10 Maths Model Paper 2026










Paper Pattern and Format
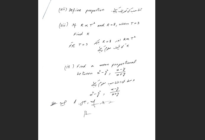
According to BISE Lahore, the Mathematics paper will include 15 objective-type questions and 8 subjective-type questions.
The objective section will consist of multiple-choice questions (MCQs) to test basic knowledge. The subjective section will focus on core mathematical concepts and will check students’ understanding in detail.
Why Model Papers Are Important
Model papers are very helpful for Matric students preparing for board exams. They give a clear idea of the types of questions, paper format, and marking scheme.
By practicing model papers, students can:
Identify important topics
Improve time management
Check their strengths and weaknesses
Build confidence before exams
This practice helps students perform better and feel more prepared.
Class 10 Board Exams Schedule
Punjab boards have also updated the Matric exam schedule. The exams, which were earlier set to start on March 3, will now begin on March 27, 2026, due to the holy month of Ramadan.
The Matric exam results are expected to be announced on August 6, 2026.
Read More:Â FBISE Announces Class 11 and 12 Second Annual Exam Results 2025
Catch all the Education News, Breaking News Event and Trending News Updates on GTV News
Join Our Whatsapp Channel GTV Whatsapp Official Channel to get the Daily News Update & Follow us on Google News.












